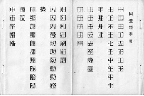
前回の記事「同型類字集 等線体」のつづきです。 『同型類字集 等線体』の方は昭和17年(1942年)12月発行でしたが、こちらの『同型類字集 明朝体』は3ヶ月後の昭和18年(1943年)3月発行となっています。等線体が明朝体になっている以外は、まったく同じ体…
引用をストックしました
引用するにはまずログインしてください
引用をストックできませんでした。再度お試しください
限定公開記事のため引用できません。